QQ咨询
服务热线
服务热线:4006-555-180
TOP

辽宁省打印机框架协议采购项目

发布时间:2026-02-02 浏览:19

一、征集邀请

辽宁省公共资源交易中心(辽宁省政府采购中心)拟对辽宁省打印机框架协议采购项目进行框架协议采购征集,兹邀请符合本次征集要求的供应商参加征集。

二、征集人信息

1.征集人:辽宁省公共资源交易中心(辽宁省政府采购中心)

2.联系人:朱老师 董老师

3.联系方式:024-88311531 024-23447752

4.联系地址:沈阳市皇姑区崇山中路109号(百鸟公园东侧大楼)

三、征集项目概述

1.征集项目名称:辽宁省打印机框架协议采购项目

2.征集项目编号:K2100012025000086

3.征集项目简介:为全省各级国家机关、事业单位、团体组织提供打印机。

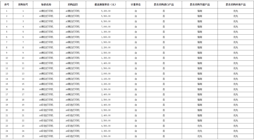
4.采购需求:

5.技术参数及要求:详见征集文件

6.是否存在量价折扣关系:详见征集文件

7.适用本项目框架协议的采购人或者服务对象范围:

8.确定第二阶段成交供应商方式:直接选定。

四、 供应商的资格条件

1.满足《中华人民共和国政府采购法》第二十二条规定;

2.满足《政府采购框架协议采购方式管理暂行办法》第十八条规定:货物项目框架协议的入围供应商应当为入围产品生产厂家或者生产厂家唯一授权供应商。

3.落实政府采购政策需满足的资格要求:

执行政府采购促进中小企业发展的相关政策;

4.供应商资格要求:详见征集文件

五、框架协议的期限

本次征集的框架协议有效期为自框架协议签订之日起1年。

六、获取征集文件的时间和方式

1.时间:2026年01月31日至2026年02月07日,每天上午00:00:00至12:00:00,下午12:00:00至23:59:59(北京时间)

2.方式:供应商有意愿参加本次框架协议征集,请直接访问辽宁政府采购网(网址:http://www.ccgp-liaoning.gov.cn/),随后跳转至框架采购系统平台。在平台的“应标管理”模块下,找到“投标(响应)管理”区域,填写相关信息,下载征集文件。

3.售价:0元

七、响应文件的提交截止时间、提交方式和地点,开启方式、时间和地点

1.响应文件提交截止时间:2026年03月04日 09时00分00秒(北京时间)

2.响应文件提交方式和地点:供应商应当在响应文件提交截止时间前,通过框架协议电子化采购系统提交响应文件。成功提交的,供应商将收到已提交响应文件的回执函。

3.开启时间:2026年03月04日 09时00分00秒

4.开启方式和地点:响应文件提交截止时间前,供应商登录框架协议电子化采购系统-“开标大厅”参与开启。

八、公告期限

自本公告发布之日起5个工作日。

九、其他补充事宜

1.本项目实行电子化采购,使用的电子化交易系统为:辽宁框架协议电子化采购系统,登录方式及地址:通过“辽宁政府采购网(http://www.ccgp-liaoning.gov.cn/),进入框架协议电子化采购系统。供应商应当按照以下要求,参与本次电子化采购活动。

(1)供应商应当自行在“辽宁政府采购网”-办事指南查看相应的系统操作指南,并严格按照操作指南要求进行系统操作。在登录、使用辽宁政府采购网前,应当按照要求完成供应商注册和信息完善,加入辽宁政府采购网供应商库。

(2)供应商应当加强数字证书和电子签章日常校验和妥善保管,确保在参加采购活动期间数字证书和电子签章能够正常使用;供应商应当严格数字证书和电子签章的内部授权管理,防止非授权操作。

(3)供应商应当自行准备适应电子化采购所需的计算机终端、软硬件及网络环境,承担因准备不足产生的不利后果。

(4)辽宁政府采购网技术支持电话:400-128-8588

2.供应商编制响应文件前,需先根据辽宁政府采购网-办事指南查看相应的系统操作指南,在框架协议电子化系统的产品库/服务库中完成响应产品/服务入库。

3.针对本项目的质疑需一次性提出,多次提出将不予受理。


0
该内容对我有帮助